![]()
The PFAS Environmental Reaction Library has been developed as a component of the Chemical Transformation Simulator (CTS), a web-based software tool under development in EPA’s Office of Research and Development. The library is implemented in CTS to predict the likely environmental transformation products of per- and polyfluoroalkyl substances (PFAS).
Version 1.1 of the PFAS Environmental Reaction Library contains 59 reaction schemes:
Decarboxylation Schemes
Decarboxylation: Alpha carboxy ether to ether
Decarboxylation: Alpha hydroxy fluorotelomer carboxylic acid to fluorotelomer aldehyde
Decarboxylation: Beta carboxy ketone to methyl ketone
Desulfonation Scheme
Desulfonation: Fluorotelomer sulfonate to fluorotelomer alcohol
Epoxidation Scheme
Epoxidation: Alkene to epoxide_PTP
Hydrolysis Schemes
Hydrolysis: Acid fluoride to carboxylic acid
Hydrolysis: Alpha difluoro alcohol to acid fluoride
Hydrolysis: Alpha fluoro secondary alcohol to ketone
Hydrolysis: Amide to carboxylic acid
Hydrolysis: Beta hydroxy fluorotelomer iodide to diol_PTP
Hydrolysis: Carboxylic acid ester to carboxylic acid
Hydrolysis: Diperfluorophosphinate to perfluorophosphonate
Hydrolysis: Diphosphate ester to monophosphate ester
Hydrolysis: Epoxide to diol_PTP
Hydrolysis: Fluorotelomer acid to unsaturated telomer acid
Hydrolysis: Fluorotelomer iodide to fluorotelomer alcohol
Hydrolysis: Fluorotelomer urethane to fluorotelomer alcohol
Hydrolysis: Hydrodefluorination of PFC chain
Hydrolysis: Monophosphate ester to alcohol
Hydrolysis: Perfluorinated epoxide to beta keto carboxylic acid
Hydrolysis: Sulfonamide to sulfonic acid
Hydrolysis: Sulfonyl fluoride to sulfonic acid
Hydrolysis: Unsaturated fluorotelomer iodide to beta hydroxy fluorotelomer iodide-PTP
Hydroxylation Schemes
Hydroxylation: N-Alkyl sulfonamide to N-alkyl sulfonamide alcohol_PTP
Hydroxylation: Unsaturated fluorotelomer 2,4-dienoic acid to beta-hydroxy fluorotelomer acid
Hydroxylation: Unsaturated fluorotelomer acid to alpha hydroxy fluorotelomer acid
Hydroxylation: Unsaturated fluorotelomer acid to beta hydroxy fluorotelomer acid
N-Deacetylation/N-Dealkylation Schemes
N-Deacetylation: N-acetyl sulfonamide to sulfonamide
N-Deacetylation: N-acetyl, N-alkyl sulfonamide to N-alkyl sulfonamide
N-Dealkylation: N-alkyl sulfonamide to sulfonamide
Oxidation Schemes
Oxidation: Alpha fluoro diol to acid fluoride and aldehyde with C-C bond cleavage_PTP
Oxidation: Alpha hydroxy fluorotelomer aldehyde to alpha hydroxy fluorotelomer carboxylic acid_PTP
Oxidation: Beta hydroxy fluorotelomer acid to beta keto fluorotelomer acid_PTP
Oxidation: Beta oxidation of beta keto fluorotelomer acid_PTP
Oxidation: Beta oxidation of beta keto gamma-delta unsaturated fluorotelomer acid_PTP
Oxidation: Fluorotelomer alcohol to fluorotelomer aldehyde
Oxidation: Fluorotelomer alcohol to fluorotelomer carboxylic acid with loss of CF2 and methyl group
Oxidation: Fluorotelomer alcohol to fluorotelomer carboxylic acid with loss of methyl group
Oxidation: Fluorotelomer aldehyde to fluorotelomer carboxylic acid
Oxidation: Fluorotelomer carboxylic acid to 2,3-unsaturated fluorotelomer carboxylic acid
Oxidation: Fluorotelomer diol to alpha hydroxy fluorotelomer aldehyde_PTP
Oxidation: Fluorotelomer iodide to alpha beta unsaturated fluorotelomer iodide_PTP
Oxidation: Fluorotelomer polyethoxylate to fluorotelomer polyethoxylate carboxylic acid_PTP
Oxidation: Fluorotelomer sulfone to fluorotelomer sulfonic acid and alkyl chain
Oxidation: Fluorotelomer sulfoxide to fluorotelomer sulfone
Oxidation: Fluorotelomer thioether to fluorotelomer sulfoxide
Oxidation: Hydrodefluorination with alpha oxidation
Oxidation: Hydrodefluorination with beta oxidation
Oxidation: N-Alkyl sulfonamide alcohol to N-alkyl sulfonamide carboxylic acid
Oxidation: Sulfinic acid to sulfonic acid
Reduction Schemes
Reduction: 2,3-Unsaturated fluorotelomer carboxylic acid to fluorotelomer carboxylic acid
Reduction: Beta fluoro unsaturated telomer acid to beta H unsaturated telomer acid
Reduction: Hydrogenolysis of chlorinated perfluorinated ether_PTP
Reduction: Methyl ketone to alcohol
Reduction: Sulfonamide to sulfinic acid
Reduction: Vicinal bis-defluorination of unsaturated carboxylic acid_PTP
The reaction schemes are written as generic reaction equations defining how a particular structural fragment will be modified by the transformation reaction. These schemes are not balanced reactions showing all reactants and products (e.g., H2O, OH- and/or H+ are not shown as reactants in the schemes). Additionally, the structural fragments in the reaction schemes are written with a minimal amount of specificity. For example, the inclusion of hydrogen atoms in the scheme implies that there is a requirement for a hydrogen atom to present be in the specified position for the reactions to proceed; otherwise, it is assumed that, for simplicity, hydrogen atoms are not explicitly included.
The schemes are encoded using the notation and structural query features from ChemAxon’s Marvin tools. Definitions of some common symbols used in the reaction schemes are provided below:
· L[a1;a2;…] is a list of possible atoms (a1, a2, …) that can occupy the position within the fragment
· (A) is used to indicate an aliphatic carbon atom
· (a) is used to indicate an aromatic carbon atom
· (H1) indicates that the atom is bonded to one hydrogen
· (H3) indicates that the atom is bonded to three hydrogens
· (s*) indicates substituent count is as drawn for the atom
· AH is used to represent any atom including hydrogen
Examples are provided for each reaction scheme in the library. As is the case for the reaction schemes themselves, the example reactions do not show all of the reactants and products involved in the reduction reaction. The example chemical is shown as the only reactant, and the products are the major transformation products reported in the study. These example transformations from the peer-reviewed literature and government regulatory reports were used to test the reaction schemes in the library.
The schemes within the Anaerobic Biotransformation Reaction Library are ranked on a scale of one to seven according to their relative rate of transformation, with a higher rank indicating a faster transformation rate. A database of measured rate constants or half-lives was compiled from a survey of peer-reviewed scientific literature and reports by government regulatory agencies to assign these ranks to each reaction scheme.
Decarboxylation Schemes
Decarboxylation: Alpha carboxy ether to ether
SCHEME:

EXAMPLES:
· Hexafluoropropylene oxide dimer acid (HFPO-DA; DTXSID70880215) (Liberatore et al., 2020)

Decarboxylation: Alpha hydroxy fluorotelomer carboxylic acid to fluorotelomer aldehyde
SCHEME:

EXAMPLES:
· α-OH 5:3 FTCA (Wang et al., 2012)
Decarboxylation: Beta carboxy ketone to methyl ketone
SCHEME:

EXAMPLES:
· β-keto 7:3 FTCA (Washington et al., 2015)

Desulfonation Scheme
Desulfonation: Fluorotelomer sulfonate to fluorotelomer alcohol
SCHEME:

EXAMPLES:
· 6:2 fluorotelomer sulfonate (6:2 FTSA, DTXSID6067331; Zhang et al., 2016; Shaw et al., 2019; Van Hamme et al., 2013)
Epoxidation Scheme
Epoxidation: Alkene to epoxide_PTP
SCHEME:

This scheme includes an exclude rule to prevent epoxide formation at the carbon-carbon double bond adjacent to the carboxylic acid group in beta fluoro unsaturated telomer acids or the carbon-carbon double bond adjacent to the aldehyde group in beta fluoro unsaturated telomer aldehydes.
EXAMPLES:
· 2H,8H-2,8-PFUDoA (Arakaki et al., 2010) Note that this transformation is not included in the proposed biodegradation pathway shown in Figure 1; however, in the discussion section, Arakaki et al (2010) state “cleavage probably requires oxidative reactions such as epoxidation of the C=C double bond”.

Hydrolysis Schemes
Hydrolysis: Acid fluoride to carboxylic acid
SCHEME:

EXAMPLES:
· Acetyl fluoride (DTXSID3060326) (Bunton and Fendler, 1966)

· 2,3,3,3-Tetrafluoropropanoyl fluoride (DTXSID20536674) (Koster et al, 1994)

Hydrolysis: Alpha difluoro alcohol to acid fluoride
SCHEME:

EXAMPLES:
· 1,1,2-trifluoropropan-1-ol (Koster et al., 1994)

Hydrolysis: Alpha fluoro secondary alcohol to ketone

EXAMPLES:
· 1,2,2,3,3,4,4-heptafluorocyclobutanol (Andreades and England, 1961)
The product shown in brackets is hexafluorocyclobutanone hydrate, an intermediate proposed by Andreades and England (1961). This molecule is a geminal diol which will be transformed to the carbonyl form shown as the final product.
Hydrolysis: Amide to carboxylic acid
SCHEME:

EXAMPLES:
· Trifluoroacetamide (DTXSID1059868) (Meresaar and Bratt, 1974)

Hydrolysis: Beta hydroxy fluorotelomer iodide to diol_PTP
SCHEME:

EXAMPLES:
·
3,3,4,4,5,5,6,6,7,7,8,8,8-tridecafluoro-1-iodooctan-2-ol (DTXSID70527451)
(Ruan et al., 2013)
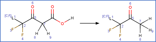
Hydrolysis: Carboxylic acid ester to carboxylic acid

EXAMPLES:
· 8:2 Fluorotelomer methacrylate (8:2 FTMAc, DTXSID8062101) (Royer et al., 2015)

· 8:2 Fluorotelomer acrylate (8:2 FTAc, DTXSID5067348) (Royer et al., 2015)

· 8:2 Fluorotelomer stearate monoester (DTXSID601029611) (Dasu et al., 2012)

Hydrolysis: Diperfluorophosphinate to perfluorophosphonate

EXAMPLES:
· bis(nonafluorobutyl)phosphinic acid (DTXSID60556851) (Mahmood and Shreeve, 1986)

Hydrolysis: Diphosphate ester to monophosphate ester
SCHEME:

EXAMPLES:
· 6:2 Fluorotelomer phosphate diester (6:2 diPAP, DTXSID50561590) (Lee et al, 2014; Lewis et al, 2016)

Hydrolysis: Epoxide to diol_PTP
SCHEME:

EXAMPLES:
· 2H,8H-8,9-oxirane-PFUDoA (Arakaki et al., 2010).

Note that this transformation is not included in the proposed biodegradation pathway shown in Figure 1; however, in the discussion section, Arakaki et al (2010) state “…cleavage probably requires oxidative reactions such as epoxidation of the C=C double bond. Epoxidation and hydroxylation of unsaturated fatty acids by cytochrome P450 have been identified in various organisms.”.
Hydrolysis: Fluorotelomer acid to unsaturated telomer acid
SCHEME:

EXAMPLES:
· 2-(Perfluorooctyl) ethanoic acid (8:2 FTCA; DTXSID50451109) (Washington et al., 2015)

· 2-(Perfluorohexyl) ethanoic acid (6:2 FTCA; DTXSID50472556) (Ruan et al., 2014)

Hydrolysis: Fluorotelomer iodide to fluorotelomer alcohol
SCHEME:

EXAMPLES:
· 1H,1H,2H,2H-Perfluorooctyl iodide (6:2 Fluorotelomer iodide; DTXSID2047565) (Ruan et al., 2013)

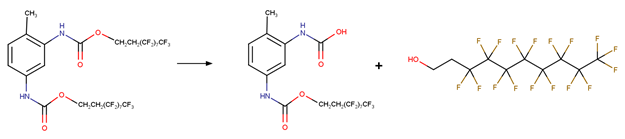
Hydrolysis: Fluorotelomer urethane to fluorotelomer alcohol
SCHEME:

EXAMPLES:
· Toluene-2,4-di(8:2fluorotelomerurethane) (Dasu and Lee, 2016)

· Hexamethylene-1,6-di(8:2fluorotelomerurethane) (HMU) (Dasu and Lee, 2016)

Hydrolysis: Hydrodefluorination of PFC chain
SCHEME:

EXAMPLES:
· 2H,8H,8H-2-perfluorododecanoic acid (2H,8H,8H-2-PFUDoA) (Arakaki et al., 2017)

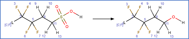
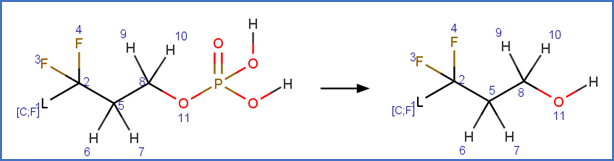
Hydrolysis: Monophosphate ester to alcohol
SCHEME:

EXAMPLES:
· [(3,3,4,4,5,5,6,6,6‐Nonafluorohexyl)oxy]phosphonic acid (4:2 monoPAP; DTXSID901026573 )(Lee et al., 2010)

· 6:2 Fluorotelomer phosphate monoester (6:2 monoPAP; DTXSID90558000) (Lee et al., 2010)

· 3,3,4,4,5,5,6,6,7,7,8,8,9,9,10,10,10-Heptadecafluorodecyl dihydrogen phosphate (8:2 monoPAP; DTXSID60874027) (Lee et al., 2010)

· 10:2 Fluorotelomer dihydrogen phosphate (10:2 monoPAP; DTXSID20206380) (Lee et al., 2010)

Hydrolysis: Perfluorinated epoxide to alpha keto carboxylic acid
SCHEME:

EXAMPLES:
· Hexafluoropropylene oxide (HFPO, DTXSID6029177) (Kutsuna et al., 2018)

Kutsana (2018) shows the formation of numerous possible intermediates in the proposed reaction pathway for the hydrolysis of HFPO; however, the “Hydrolysis: Perfluorinated epoxide to alpha keto carboxylic acid” scheme is written to capture only the overall transformation of HFPO to the final product (3,3,3‐trifluoro‐2‐oxopropanoic acid).
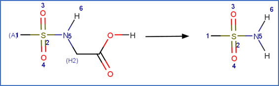
Hydrolysis: Sulfonamide to sulfonic acid
SCHEME:

EXAMPLES:
· Perfluorooctane sulfonamide (FOSA; DTXSID3038939) (Benskin et al, 2013)

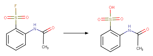
Hydrolysis: Sulfonyl fluoride to sulfonic acid
SCHEME:

EXAMPLES:
· 2-acetamidobenzenesulfonyl fluoride (Aberlin and Bunton, 1970)

· 1,2,2,2-tetrafluoroethanesulfonyl fluoride (DTXSID50880177) (Knunyants and Sokolski, 1972)

· 1‐chloro‐1,2,2,2‐tetrafluoroethanesulfonyl fluoride (Knunyants and Sokolski, 1972)

Hydrolysis: Unsaturated fluorotelomer iodide to beta hydroxy fluorotelomer iodide-PTP
SCHEME:

EXAMPLES:
· (1Z)-3,3,4,4,5,5,6,6,7,7,8,8,8-tridecafluoro-1-iodooct-1-ene) (Ruan et al., 2013)

Hydroxylation Schemes
Hydroxylation: N-Alkyl sulfonamide to N-alkyl sulfonamide alcohol_PTP
SCHEME:

EXAMPLES:
· N-ethyl-perfluorooctanesulfonamide (N-EtFOSA; DTXSID1032646) (Benskin et al., 2013)

Hydroxylation: Unsaturated fluorotelomer 2,4-dienoic acid to beta-hydroxy fluorotelomer acid
SCHEME:

EXAMPLES:
· 7:3 FTUUCA (Washington et al., 2015)

Hydroxylation: Unsaturated fluorotelomer acid to alpha hydroxy fluorotelomer acid
SCHEME:

EXAMPLES:
· 5:3 Fluorotelomer unsaturated carboxylic acid (5:3 FTUCA) (Wang et al., 2012)

Hydroxylation: Unsaturated fluorotelomer acid to beta hydroxy fluorotelomer acid
SCHEME:

EXAMPLES:
· 7:3 Fluorotelomer unsaturated carboxylic acid (7:3 FTUCA; DTXSID30822919) (Wang et al., 2009)

N-Deacetylation/N-Dealkylation Schemes
N-Deacetylation: N-acetyl sulfonamide to sulfonamide
SCHEME:

EXAMPLES:
· 2(perfluorooctanesulfonamido)acetic acid (FOSAA; DTXSID40440941) (Rhoads et al., 2008)

N-Deacetylation: N-acetyl, N-alkyl sulfonamide to N-alkyl sulfonamide
SCHEME:

EXAMPLES:
· N-ethyl perfluorooctane sulfonamido acetate (N-EtFOSAA; DTXSID5062760) (Benskin et al., 2013; Rhoads et al., 2008)

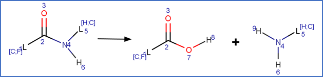
N-Dealkylation: N-alkyl sulfonamide to sulfonamide
SCHEME:

EXAMPLES:
· N-ethyl-perfluorooctanesulfonamide (N-EtFOSA; DTXSID1032646) (Rhoads et al., 2008)

Oxidation Schemes
SCHEME:

EXAMPLES:
· 3,3,4,4,5,5,6,6,7,7,8,8,9,9,9-Pentadecafluorononan-2-ol (7:2 sFTOH; DTXSID10517598) (Wang et al., 2009; Washington et al., 2015)

Oxidation: Alpha fluoro diol to acid fluoride and aldehyde with C-C bond cleavage_PTP
SCHEME:

EXAMPLES:
· 1,1,1,2,2,4,5,5,6,6,7,7,7-tridecafluoroheptane-3,4-diol (Arakaki et al., 2010)

Oxidation: Alpha hydroxy fluorotelomer aldehyde to alpha hydroxy fluorotelomer carboxylic acid_PTP
SCHEME:

EXAMPLES:
· 3-Hydroxy-4,4,5,5,6,6,7,7,8,8,9,9,10,10,10-pentadecafluorodecanoic acid (Washington et al., 2015)

Oxidation: Beta hydroxy fluorotelomer acid to beta keto fluorotelomer acid_PTP
SCHEME:

EXAMPLES:
· 3-Hydroxy-4,4,5,5,6,6,7,7,8,8,9,9,10,10,10-pentadecafluorodecanoic acid (Washington et al., 2015)

SCHEME:

EXAMPLES:
· β-OH 7:3 FTUCA (Washington et al., 2015)

Oxidation: Beta oxidation of beta keto fluorotelomer acid_PTP
SCHEME:

EXAMPLES:
· 3-Oxo-4,4,5,5,6,6,7,7,8,8,9,9,10,10,10-pentadecafluorodecanoic acid (Washington et al., 2015)
Oxidation: Beta oxidation of beta keto gamma-delta unsaturated fluorotelomer acid_PTP
SCHEME:

EXAMPLES:
· β-Keto 7:3 FTUCA (Washington et al., 2015)

Oxidation: Fluorotelomer alcohol to fluorotelomer aldehyde
SCHEME:

EXAMPLES:
· 3,3,4,4,5,5,6,6,7,7,8,8,8-Tridecafluorooctan-1-ol (6:2 FTOH; DTXSID5044572) (Zhao et al., 2013)

· 1,1,2,2-Tetrahydroperfluoro-1-decanol (8:2 FTOH; DTXSID7029904) (Wang et al., 2009)

Oxidation: Fluorotelomer alcohol to fluorotelomer carboxylic acid with loss of CF2 and methyl group
SCHEME:

EXAMPLES:
· 1H,1H,1H,2H-Perfluoro-2-heptanol (5:2 sFTOH; DTXSID80597206) (Zhao et al., 2013; Hamid et al., 2020)

Oxidation: Fluorotelomer alcohol to fluorotelomer carboxylic acid with loss of methyl group
SCHEME:

EXAMPLES:
· 1H,1H,1H,2H-Perfluoro-2-heptanol (5:2 sFTOH; DTXSID80597206) (Zhao et al., 2013)

Oxidation: Fluorotelomer aldehyde to fluorotelomer carboxylic acid
SCHEME:
EXAMPLES:
· 3,3,4,4,5,5,6,6,7,7,8,8,8-Tridecafluorooctanal (6:2 FTAL; DTXSID20895379) (Zhang et al., 2013)

· 3,3,4,4,5,5,6,6,7,7,8,8,9,9,10,10,10-Heptadecafluorod (8:2 FTAL; DTXSID10895489) (Martin et al., 2005)

Oxidation: Fluorotelomer carboxylic acid to 2,3-unsaturated fluorotelomer carboxylic acid
SCHEME:

EXAMPLES:
· 2H,2H,3H,3H-Perfluorooctanoic acid (5:3 FTCA; DTXSID20874028) (Wang et al., 2012)

Oxidation: Fluorotelomer diol to alpha hydroxy fluorotelomer aldehyde_PTP
SCHEME:

EXAMPLES:
· 3,3,4,4,5,5,6,6,7,7,8,8,8-tridecafluorooctane-1,2-diol (Ruan et al., 2013)

Oxidation: Fluorotelomer iodide to alpha beta unsaturated fluorotelomer iodide_PTP
SCHEME:

EXAMPLES:
· 1,1,1,2,2,3,3,4,4,5,5,6,6-tridecafluoro-8-iodooctane (DTXSID2047565) (Ruan et al., 2013)

SCHEME:

EXAMPLES:
· 30,30,31,31,32,32,33,33,34,34,35,35,35-tridecafluoro-3,6,9,12,15,18,21,24,27-nonaoxapentatriacontanoic acid (Frömel and Knepper, 2010)
![]()
Oxidation: Fluorotelomer polyethoxylate to fluorotelomer polyethoxylate carboxylic acid_PTP
SCHEME:

EXAMPLES:
· 6:2 FTEO9 (Frömel and Knepper, 2010)
![]()
Oxidation: Fluorotelomer sulfone to fluorotelomer sulfonic acid and alkyl chain
SCHEME:

EXAMPLES:
· 6:2 FtSO2AoS (DTXSID90894132) (Harding-Majanovic et al., 2015)

Oxidation: Fluorotelomer sulfoxide to fluorotelomer sulfone
SCHEME:

EXAMPLES:
·
4:2 FtSOAoS (Harding-Majanovic et al., 2015) 
· 6:2 FtSOAoS (DTXSID90892592) (Harding-Majanovic et al., 2015)

· 8:2 FtSOAoS (Hardin-Majanovic et al., 2015)

Oxidation: Fluorotelomer thioether to fluorotelomer sulfoxide
SCHEME:

EXAMPLES:
·
4:2 Fluorotelomer thioether amido sulfonic acid (4:2 FtTAoS; DTXSID00892528)
(Harding-Majanovic et al., 2015) 
·
6:2 Fluorotelomer thia propanoamido dimethyl ethyl sulfonate (6:2
FtTAoS; DTXSID90892330) (Harding-Majanovic et al., 2015) 
·
8:2 Fluorotelomer thioether amido sulfonic acid (8:2 FtTAoS;
DTXSID30892334) (Hardin-Majanovic et al., 2015) 
Oxidation: Hydrodefluorination with alpha oxidation
SCHEME:

EXAMPLES:
· 7:2 Fluorotelomer ketone (Wang et al., 2009; Washington et al., 2015)

Oxidation: Hydrodefluorination with beta oxidation
SCHEME:

EXAMPLES:
· 2,3,4,4,5,5,6,6,7,7,8,8,8-Tridecafluorooct-2-enoic acid (Washington et al., 2015)

Oxidation: N-Alkyl sulfonamide alcohol to N-alkyl sulfonamide carboxylic acid
SCHEME:

EXAMPLES:
· 2-(N-(Perfluorobutylsulfonyl)-N-methylamino) ethanol (MeFBSE; DTXSID0067848 (Lange et al., 2018)

· 2-Perfluorooctylsulfonyl-N-ethylaminoethyl alcohol (N-EtFOSE; DTXSID6027426) (Lange et al., 2018; Benskin et al., 2013; Rhoads et al., 2008)

Oxidation: Sulfinic acid to sulfonic acid
SCHEME:

EXAMPLES:
· 1,1,2,2,3,3,4,4,5,5,6,6,7,7,8,8,8-Heptadecafluorooctane-1-sulfinic Acid (PFOSI; DTXSID10904262) (Rhoads et al., 2008)

Reduction Schemes
Reduction: 2,3-Unsaturated fluorotelomer carboxylic acid to fluorotelomer carboxylic acid
SCHEME:

EXAMPLES:
· 2-Decenoic acid, 4,4,5,5,6,6,7,7,8,8,9,9,10,10,10-pentadecafluoro- (7:3 FTUCA; DTXSID30822919) (Washington et al., 2015)

· 4,4,5,5,6,6,6-Heptafluorohex-2-enoic acid (4:3 FTUCA; DTXSID30895360) (Wang et al., 2012; Martin et al., 2005)

Reduction: Beta fluoro unsaturated telomer acid to beta H unsaturated telomer acid
SCHEME:

EXAMPLES:
· 8:2 Fluorotelomer unsaturated carboxylic acid (8:2 FTUCA; DTXSID60825615) (Zhang et al., 2016; Fasano et al., 2006)

· 5:2 Fluorotelomer unsaturated carboxylic acid (5:2 FTUCA; DTXSID201036278) (Wang et al., 2012)

Reduction: Hydrogenolysis of chlorinated perfluorinated ether_PTP
SCHEME:

EXAMPLES:
· Chlorinated perfluorinated ether (Washington et al., 2015)

Reduction: Methyl ketone to alcohol
SCHEME:

EXAMPLES:
· Methyl heptafluoropropyl ketone (5:2 Ketone) (Wang et al., 2012)

· Methyl Pentadecafluoroheptyl Ketone (7:2 Ketone) (Washington et al., 2015)
Reduction: Sulfonamide to sulfinic acid
SCHEME:

EXAMPLES:
· 2-(N-Ethylperfluorooctanesulfonamido) acetic acid (N-EtFOSAA; DTXSID5062760) (Boulanger et al., 2005)

Reduction: Vicinal bis-defluorination of unsaturated carboxylic acid_PTP
SCHEME:

EXAMPLES:
· 7:3 Fluorotelomer unsaturated carboxylic acid (7:3 FTUCA, DTXSID30822919) (Washington et al., 2015)

Rank Levels
|
Rank
|
Upper Limit (days)
|
Upper Limit in Other Units
|
|
7 |
0.020833333 |
30 minutes |
|
6 |
0.138888889 |
200 minutes |
|
5 |
1 |
1 day |
|
4 |
7 |
1 week |
|
3 |
60 |
2 months |
|
2 |
365 |
1 year |
|
1 |
3650 |
10 years |
|
|
|
|
Rank of Individual Reaction Schemes
|
# |
Reaction Scheme Name |
Rank |
|
|
Decarboxylation |
|
|
1 |
Decarboxylation: Alpha carboxy ether to ether |
1 |
|
2 |
Decarboxylation: Alpha hydroxy fluorotelomer carboxylic acid to fluorotelomer aldehyde |
5 |
|
3 |
Decarboxylation: Beta carboxy ketone to methyl ketone |
3 |
|
|
Desulfonation |
|
|
4 |
Desulfonation: Fluorotelomer sulfonate to fluorotelomer alcohol |
4 |
|
|
Epoxidation |
|
|
5 |
Epoxidation: Alkene to epoxide_PTP |
4 |
|
|
Hydrolysis |
|
|
6 |
Hydrolysis: Acid fluoride to carboxylic acid |
7 |
|
7 |
Hydrolysis: Alpha difluoro alcohol to acid fluoride |
7 |
|
8 |
Hydrolysis: Alpha fluoro secondary alcohol to ketone |
7 |
|
9 |
Hydrolysis: Amide to carboxylic acid |
4 |
|
10 |
Hydrolysis: Beta hydroxy fluorotelomer Iodide to diol_PTP |
3 |
|
11 |
Hydrolysis: Carboxylic acid ester to carboxylic acid |
3 |
|
12 |
Hydrolysis: Diperfluorophosphinate to perfluorophosphonate |
1 |
|
13 |
Hydrolysis: Diphosphate ester to monophosphate ester |
2 |
|
14 |
Hydrolysis: Epoxide to diol_PTP |
5 |
|
15 |
Hydrolysis: Fluorotelomer acid to unsaturated telomer acid |
4 |
|
16 |
Hydrolysis: Fluorotelomer iodide to fluorotelomer alcohol |
3 |
|
17 |
Hydrolysis: Fluorotelomer urethane to fluorotelomer alcohol |
2 |
|
18 |
Hydrolysis: Hydrodefluorination of PFC chain |
3 |
|
19 |
Hydrolysis: Monophosphate ester to alcohol |
3 |
|
20 |
Hydrolysis: Perfluorinated epoxide to alpha keto carboxylic acid |
7 |
|
21 |
Hydrolysis: Sulfonamide to sulfonate |
3 |
|
22 |
Hydrolysis: Sulfonyl fluoride to sulfonate |
3 |
|
23 |
Hydrolysis: Unsaturated fluorotelomer iodide to beta hydroxy fluorotelomer iodide-PTP |
3 |
|
|
Hydroxylation |
|
|
24 |
Hydroxylation: N-Alkyl sulfonamide to N-alkyl sulfonamide alcohol_PTP |
3 |
|
25 |
Hydroxylation: Unsaturated fluorotelomer 2,4-dienoic acid to beta-hydroxy fluorotelomer acid |
3 |
|
26 |
Hydroxylation: Unsaturated fluorotelomer acid to alpha hydroxy fluorotelomer acid |
4 |
|
27 |
Hydroxylation: Unsaturated fluorotelomer acid to beta hydroxy fluorotelomer acid |
3 |
|
|
N-Deacetylation/N-Dealkylation |
|
|
28 |
N-Deacetylation: N-acetyl sulfonamide to sulfonamide |
4 |
|
29 |
N-Deacetylation: N-acetyl, N-alkyl sulfonamide to N-alkyl sulfonamide |
3 |
|
30 |
N-Dealkylation: N-alkyl sulfonamide to sulfonamide |
3 |
|
|
Oxidation |
|
|
31 |
Oxidation: Alcohol to ketone |
3 |
|
32 |
Oxidation: Alpha fluoro diol to acid fluoride and aldehyde with C-C bond cleavage_PTP |
3 |
|
33 |
Oxidation: Alpha hydroxy fluorotelomer aldehyde to alpha hydroxy fluorotelomer carboxylic acid_PTP |
3 |
|
34 |
Oxidation: Beta hydroxy fluorotelomer acid to beta keto fluorotelomer acid_PTP |
3 |
|
35 |
Oxidation: Beta hydroxy gamma-delta unsaturated fluorotelomer acid to beta keto fluorotelomer acid_PTP |
3 |
|
36 |
Oxidation: Beta oxidation of beta keto fluorotelomer acid |
3 |
|
37 |
Oxidation: Beta oxidation of beta keto gamma-delta unsaturated fluorotelomer acid_PTP |
3 |
|
38 |
Oxidation: Fluorotelomer alcohol to fluorotelomer aldehyde |
4 |
|
39 |
Oxidation: Fluorotelomer alcohol to fluorotelomer carboxylic acid with loss of CF2 and methyl groups |
3 |
|
40 |
Oxidation: Fluorotelomer alcohol to fluorotelomer carboxylic acid with loss of methyl group |
2 |
|
41 |
Oxidation: Fluorotelomer aldehyde to fluorotelomer carboxylic acid |
6 |
|
42 |
Oxidation: Fluorotelomer carboxylic acid to 2,3-unsaturated fluorotelomer carboxylic acid |
2 |
|
43 |
Oxidation: Fluorotelomer diol to alpha hydroxy fluorotelomer aldehyde_PTP |
3 |
|
44 |
Oxidation: Fluorotelomer iodide to alpha beta unsaturated fluorotelomer iodide_PTP |
3 |
|
45 |
Oxidation: Fluorotelomer polyethoxylate carboxylic acid to shortened fluorotelomer polyethoxylate_PTP |
4 |
|
46 |
Oxidation: Fluorotelomer polyethoxylate to fluorotelomer polyethoxylate carboxylic acid_PTP |
4 |
|
47 |
Oxidation: Fluorotelomer sulfone to fluorotelomer sulfonic acid and alkyl chain |
3 |
|
48 |
Oxidation: Fluorotelomer sulfoxide to fluorotelomer sulfone |
3 |
|
49 |
Oxidation: Fluorotelomer thioether to fluorotelomer sulfoxide |
4 |
|
50 |
Oxidation: Hydrodefluorination with alpha oxidation |
3 |
|
51 |
Oxidation: Hydrodefluorination with beta oxidation |
4 |
|
52 |
Oxidation: N-Alkyl sulfonamide alcohol to N-alkyl sulfonamide carboxylic acid |
3 |
|
53 |
Oxidation: Sulfinic acid to sulfonic acid |
5 |
|
|
Reduction |
|
|
54 |
Reduction: 2,3-Unsaturated fluorotelomer carboxylic acid to fluorotelomer carboxylic acid |
3 |
|
55 |
Reduction: Beta fluoro unsaturated telomer acid to beta H unsaturated telomer acid |
3 |
|
56 |
Reduction: Hydrogenolysis of chlorinated perfluorinated ether_PTP |
3 |
|
57 |
Reduction: Methyl ketone to alcohol |
3 |
|
58 |
Reduction: Sulfonamide to sulfinic acid |
3 |
|
59 |
Reduction: Vicinal bis-defluorination of unsaturated carboxylic acid_PTP |
3 |
The development of version 1.0 of the CTS PFAS Environmental Reaction Library was described in detail in the following publication:
E.J. Weber, C. Tebes-Stevens, J.W. Washington. 2022. Development of a PFAS reaction library: identifying plausible transformation pathways in environmental and biological systems. Environmental Science: Processes & Impacts, 24, pp. 689–753.
Version 1.1 includes revisions to various reaction schemes and the addition of the following reaction schemes:
· Hydrolysis: Unsaturated fluorotelomer iodide to beta hydroxy fluorotelomer iodide-PTP
· Hydroxylation: Unsaturated fluorotelomer 2,4-dienoic acid to beta-hydroxy fluorotelomer acid
· Oxidation: Beta hydroxy gamma-delta unsaturated fluorotelomer acid to beta keto fluorotelomer acid_PTP
· Oxidation: Beta oxidation of beta keto gamma-delta unsaturated fluorotelomer acid_PTP
· Oxidation: Fluorotelomer polyethoxylate carboxylic acid to shortened fluorotelomer polyethoxylate_PTP
· Oxidation: Hydrodefluorination with beta oxidation
Three schemes from the version 1.0 library were deleted, because they are covered by other schemes in the version 1.1 library:
· Hydrolysis: Alpha fluoro primary alcohol to aldehyde
· Hydrolysis: Alpha hydroxy iodide to diol-PTP
· Oxidation: Alpha oxidation of alpha hydroxy fluorotelomer carboxylic acid to fluorotelomer aldehyde
REFERENCES:
Aberlin,
M. E., & Bunton, C. A. (1970). Spontaneous hydrolysis of sulfonyl
fluorides. The Journal of Organic Chemistry, 35(6), 1825–1828.
https://doi.org/10.1021/jo00831a024
Andreades, S., & England, D. C. (1961). α-HALOALCOHOLS. Journal of
the American Chemical Society, 83(22), 4670–4671.
https://doi.org/10.1021/ja01483a047
Arakaki, A., Ishii, Y., Tokuhisa, T., Murata, S., Sato, K., Sonoi, T., Tatsu,
H., & Matsunaga, T. (2010). Microbial biodegradation of a novel
fluorotelomer alcohol, 1H,1H,2H,2H,8H,8H-perfluorododecanol, yields short
fluorinated acids. Applied Microbiology and Biotechnology, 88(5),
1193–1203. https://doi.org/10.1007/s00253-010-2815-9
Arakaki, A., Nakata, S., Tokuhisa, T., Ogawa, Y., Sato, K., Sonoi, T.,
Donachie, S. P., & Matsunaga, T. (2017). Quantitative and time-course
analysis of microbial degradation of 1H,1H,2H,2H,8H,8H-perfluorododecanol in
activated sludge. Applied Microbiology and Biotechnology, 101(22),
8259–8266. https://doi.org/10.1007/s00253-017-8538-4
Benskin, J. P., Ikonomou, M. G., Gobas, F. A. P. C., Begley, T. H., Woudneh, M.
B., & Cosgrove, J. R. (2013). Biodegradation of N-ethyl perfluorooctane
sulfonamido ethanol (EtFOSE) and EtFOSE-based phosphate diester (SAmPAP
diester) in marine sediments. Environmental Science & Technology, 47(3),
1381–1389. https://doi.org/10.1021/es304336r
Boulanger, B., Vargo, J. D., Schnoor, J. L., & Hornbuckle, K. C. (2005).
Evaluation of perfluorooctane surfactants in a wastewater treatment system and
in a commercial surface protection product. Environmental Science &
Technology, 39(15), 5524–5530. https://doi.org/10.1021/es050213u
Bunton, C. A., & Fendler, J. H. (1966). The Hydrolysis of Acetyl Fluoride. The
Journal of Organic Chemistry, 31(7), 2307–2312.
https://doi.org/10.1021/jo01345a053
Dasu, K., & Lee, L. S. (2016). Aerobic biodegradation of toluene-2,4-di(8:2
fluorotelomer urethane) and hexamethylene-1,6-di(8:2 fluorotelomer urethane)
monomers in soils. Chemosphere, 144, 2482–2488.
https://doi.org/10.1016/j.chemosphere.2015.11.021
Dasu, K., Liu, J., & Lee, L. S. (2012). Aerobic soil biodegradation of 8:2
fluorotelomer stearate monoester. Environmental Science & Technology,
46(7), 3831–3836. https://doi.org/10.1021/es203978g
Fasano, W. J., Carpenter, S. C., Gannon, S. A., Snow, T. A., Stadler, J. C., Kennedy,
G. L., Buck, R. C., Korzeniowski, S. H., Hinderliter, P. M., & Kemper, R.
A. (2006). Absorption, distribution, metabolism, and elimination of 8-2
fluorotelomer alcohol in the rat. Toxicological Sciences: An Official
Journal of the Society of Toxicology, 91(2), 341–355.
https://doi.org/10.1093/toxsci/kfj160
Frömel,
T., & Knepper, T. P. (2010). Fluorotelomer ethoxylates: sources of highly
fluorinated environmental contaminants part I: biotransformation. Chemosphere, 80(11),
1387-1392.
Hamid,
H., Li, L. Y., & Grace, J. R. (2020). Aerobic biotransformation of
fluorotelomer compounds in landfill leachate-sediment. The Science of the
Total Environment, 713, 136547. https://doi.org/10.1016/j.scitotenv.2020.136547
Harding-Marjanovic,
K. C., Houtz, E. F., Yi, S., Field, J. A., Sedlak, D. L., & Alvarez-Cohen,
L. (2015). Aerobic biotransformation of fluorotelomer thioether amido sulfonate
(Lodyne) in AFFF-amended microcosms. Environmental Science & Technology, 49(13),
7666-7674
Knunyants,
I. L., & Sokolski, G. A. (1972). Fluorinated ?-Sultones. Angewandte
Chemie, 11(7), 583–595. https://doi.org/10.1002/anie.197205831
Köster, U., Speerschneider, P., Kerssebaum, R., Wittmann, H., & Dekant, W.
(1994). Role of cytochrome P450 2E1 in the metabolism of
1,1,2,3,3,3-hexafluoropropyl methyl ether. Drug Metabolism and Disposition:
The Biological Fate of Chemicals, 22(5), 667–672.
https://www.ncbi.nlm.nih.gov/pubmed/7835215
Kutsuna, S. (2018). Rate constants and C C bond scission ratios for hydrolysis
of 2,2,3-trifluoro-3-(trifluoromethyl)oxirane determined by means of a
closed-circulation reactor. Journal of Fluorine Chemistry, 211,
109–118. https://doi.org/10.1016/j.jfluchem.2018.04.013
Lange, C. C. (2018). Anaerobic biotransformation of N-methyl
perfluorobutanesulfonamido ethanol and N-ethyl perfluorooctanesulfonamido
ethanol. Environmental Toxicology and Chemistry / SETAC, 37(3),
768–779. https://doi.org/10.1002/etc.4014
Lee, H., D’eon, J., & Mabury, S. A. (2010). Biodegradation of polyfluoroalkyl
phosphates as a source of perfluorinated acids to the environment. Environmental
Science & Technology, 44(9), 3305–3310.
https://doi.org/10.1021/es9028183
Lee, H., Tevlin, A. G., Mabury, S. A., & Mabury, S. A. (2014). Fate of
polyfluoroalkyl phosphate diesters and their metabolites in biosolids-applied
soil: biodegradation and plant uptake in greenhouse and field experiments. Environmental
Science & Technology, 48(1), 340–349.
https://doi.org/10.1021/es403949z
Lewis, M., Kim, M. H., Liu, E. J., Wang, N., & Chu, K.-H. (2016).
Biotransformation of 6:2 polyfluoroalkyl phosphates (6:2 PAPs): Effects of
degradative bacteria and co-substrates. Journal of Hazardous Materials, 320,
479–486. https://doi.org/10.1016/j.jhazmat.2016.08.036
Liberatore, H. K., Jackson, S. R., Strynar, M. J., & McCord, J. P. (2020).
Solvent Suitability for HFPO-DA (“GenX” Parent Acid) in Toxicological Studies. Environmental
Science & Technology Letters, 7(7), 477–481.
https://doi.org/10.1021/acs.estlett.0c00323
Liu, J., Wang, N., Szostek, B., Buck, R. C., Panciroli, P. K., Folsom, P. W.,
Sulecki, L. M., & Bellin, C. A. (2010). 6-2 Fluorotelomer alcohol aerobic
biodegradation in soil and mixed bacterial culture. Chemosphere, 78(4),
437–444. https://doi.org/10.1016/j.chemosphere.2009.10.044
Mahmood, T., & Shreeve, J. M. (1986). New perfluoroalkylphosphonic and
bis(perfluoroalkyl)phosphinic acids and their precursors. Inorganic
Chemistry, 25(18), 3128–3131. https://doi.org/10.1021/ic00238a006
Martin, J. W., Mabury, S. A., & O’Brien, P. J. (2005). Metabolic products
and pathways of fluorotelomer alcohols in isolated rat hepatocytes. Chemico-Biological
Interactions, 155(3), 165–180.
https://doi.org/10.1016/j.cbi.2005.06.007
Meresaar, U., Bratt, L., Alakuijala, P., & Oinonen, L. (1974). Hydrolysis
of amides. Alkaline and general acid catalyzed alkaline hydrolysis of some
substituted acetamides and benzamides. Acta Chemica Scandinavica, 28a,
715–722. https://doi.org/10.3891/acta.chem.scand.28a-0715
Rhoads, K. R., Janssen, E. M. L., Luthy, R. G., & Criddle, C. S. (2008).
Aerobic biotransformation and fate of N-ethyl perfluorooctane
sulfonamidoethanol (N-EtFOSE) in activated sludge. Environmental Science
& Technology, 42(8), 2873–2878. https://doi.org/10.1021/es702866c
Royer, L. A., Lee, L. S., Russell, M. H., Nies, L. F., & Turco, R. F.
(2015). Microbial transformation of 8:2 fluorotelomer acrylate and methacrylate
in aerobic soils. Chemosphere, 129, 54–61.
https://doi.org/10.1016/j.chemosphere.2014.09.077
Ruan, T., Sulecki, L. M., Wolstenholme, B. W., Jiang, G., Wang, N., & Buck,
R. C. (2014). 6:2 Fluorotelomer iodide in vitro metabolism by rat liver
microsomes: comparison with [1,2-(14)C] 6:2 fluorotelomer alcohol. Chemosphere,
112, 34–41. https://doi.org/10.1016/j.chemosphere.2014.02.068
Ruan, T., Szostek, B., Folsom, P. W., Wolstenholme, B. W., Liu, R., Liu, J.,
Jiang, G., Wang, N., & Buck, R. C. (2013). Aerobic soil biotransformation
of 6:2 fluorotelomer iodide. Environmental Science & Technology, 47(20),
11504–11511. https://doi.org/10.1021/es4018128
Shaw, D. M. J., Munoz, G., Bottos, E. M., Duy, S. V., Sauvé, S., Liu, J., &
Van Hamme, J. D. (2019). Degradation and defluorination of 6:2 fluorotelomer
sulfonamidoalkyl betaine and 6:2 fluorotelomer sulfonate by Gordonia sp. strain
NB4-1Y under sulfur-limiting conditions. The Science of the Total
Environment, 647, 690–698.
https://doi.org/10.1016/j.scitotenv.2018.08.012
Van Hamme, J. D., Bottos, E. M., Bilbey, N. J., & Brewer, S. E. (2013). Genomic and proteomic characterization of Gordonia sp. NB4-1Y in relation to 6: 2 fluorotelomer sulfonate biodegradation. Microbiology, 159(Pt_8), 1618-1628.
Wang, N., Buck, R. C., Szostek, B., Sulecki, L. M., & Wolstenholme, B. W.
(2012). 5:3 Polyfluorinated acid aerobic biotransformation in activated sludge
via novel “one-carbon removal pathways.” Chemosphere, 87(5),
527–534. https://doi.org/10.1016/j.chemosphere.2011.12.056
Wang, N., Szostek, B., Buck, R. C., Folsom, P. W., Sulecki, L. M., &
Gannon, J. T. (2009). 8-2 fluorotelomer alcohol aerobic soil biodegradation:
pathways, metabolites, and metabolite yields. Chemosphere, 75(8),
1089–1096. https://doi.org/10.1016/j.chemosphere.2009.01.033
Washington, J. W., Jenkins, T. M., & Weber, E. J. (2015). Identification of
Unsaturated and 2H Polyfluorocarboxylate Homologous Series and Their Detection
in Environmental Samples and as Polymer Degradation Products. Environmental
Science & Technology, 49(22), 13256–13263.
https://doi.org/10.1021/acs.est.5b03379
Zhang, H., Wen, B., Hu, X., Wu, Y., Pan, Y., Huang, H., Liu, L., & Zhang,
S. (2016). Uptake, Translocation, and Metabolism of 8:2 Fluorotelomer Alcohol
in Soybean (Glycine max L. Merrill). Environmental Science & Technology,
50(24), 13309–13317. https://doi.org/10.1021/acs.est.6b03734
Zhang, S., Lu, X., Wang, N., & Buck, R. C. (2016). Biotransformation
potential of 6:2 fluorotelomer sulfonate (6:2 FTSA) in aerobic and anaerobic
sediment. Chemosphere, 154, 224–230.
https://doi.org/10.1016/j.chemosphere.2016.03.062
Zhang, S., Szostek, B., McCausland, P. K., Wolstenholme, B. W., Lu, X., Wang,
N., & Buck, R. C. (2013). 6:2 and 8:2 fluorotelomer alcohol anaerobic
biotransformation in digester sludge from a WWTP under methanogenic conditions.
Environmental Science & Technology, 47(9), 4227–4235.
https://doi.org/10.1021/es4000824
Zhao, L., Folsom, P. W., Wolstenholme, B. W., Sun, H., Wang, N., & Buck, R.
C. (2013). 6:2 fluorotelomer alcohol biotransformation in an aerobic river
sediment system. Chemosphere, 90(2), 203–209.
https://doi.org/10.1016/j.chemosphere.2012.06.035