![]()
The Abiotic Reduction Reaction Library has been developed as a component of the Chemical Transformation Simulator (CTS), a web-based software tool under development in EPA’s Office of Research and Development. The library is implemented in CTS to predict the likely reduction products under anaerobic conditions for an organic chemical of interest.
Version 1.5 of the Abiotic Reduction Reaction Library contains eight reaction schemes:
Ranking of Abiotic Reduction Reaction Schemes
The reaction schemes are written as generic reaction equations defining how a particular structural fragment will be modified by the transformation reaction. These schemes are not balanced reactions showing all reactants and products (e.g., H2O, OH- and/or H+ are not shown as reactants in the schemes). Additionally, the structural fragments in the reaction schemes are written with a minimal amount of specificity. For example, the inclusion of hydrogen atoms in the scheme implies that there is a requirement for a hydrogen atom to present be in the specified position for the reactions to proceed; otherwise, it is assumed that, for simplicity, hydrogen atoms are not explicitly included.
The schemes are encoded using the notation and structural query features from ChemAxon’s Marvin tools. Definitions of some common symbols used in the reaction schemes are provided below:
· L[a1;a2;…] is a list of possible atoms (a1, a2, …) that can occupy the position within the fragment
· (A) is used to indicate an aliphatic carbon atom
· (a) is used to indicate an aromatic carbon atom
· (s*) indicates substituent count is as drawn for the atom
Examples are provided for each reaction scheme in the library. As is the case for the reaction schemes themselves, the example reactions do not show all of the reactants and products involved in the reduction reaction. The example chemical is shown as the only reactant, and the products are the major transformation products reported in the study. These example transformations from the peer-reviewed literature and government regulatory reports were used to test the reaction schemes in the library.
The schemes within the abiotic reduction library are ranked on a scale of one to seven according to their relative rate of transformation, with a higher rank indicating a faster transformation rate. A database of measured rate constants or half-lives was compiled from a survey of peer-reviewed scientific literature and reports by government regulatory agencies to assign these ranks to each reaction scheme.
SCHEME:

EXAMPLES:
· Carbon tetrachloride (Elsner et al., 2004)

· Tetrachloroethene (Butler and Hayes, 1999)

· Dichlorodiphenyltrichloroethane (DDT) (Macalady et al., 1986; Larson and Weber, 1994)

· Tribromomethane (Perlinger et al., 1998)

REFERENCES:
Elsner, M. et al. Mechanisms and Products of Surface-Mediated Reductive Dehalogenation of Carbon Tetrachloride by Fe(II) on Goethite. Environ. Sci. Technol. 2004, 38, 2058-2066.
Butler, E.C.; Hayes, K.F. Kinetics of the Transformation of Trichloroethylene and Tetrachloroethylene by Iron Sulfide. Environ. Sci. Technol. 1999, 33, 2021-2027.
Macalady, D.L.; Tratnyek, P.G.; Grundl, T.J. Review Paper: Abiotic Reduction Reactions of Anthropogenic Organic Chemicals in Anaerobic Systems: A Critical Review. J. Contam. Hydrol. 1986, 1, 1-28.
Larson, R.A. and E.J. Weber. Reaction Mechanisms in Environmental Organic Chemistry. Boca Raton: CRC Press, Inc., 1994.
Perlinger, J.A.; Buschmann, J.; Angst, W.; Schwarzenbach, R.P. Iron Porphyrin and Mercaptojuglone Mediated Reduction of Polyhalogenated Methanes and Ethanes in Homogeneous Aqueous Solution. Environ. Sci. Technol. 1998, 32, 2431-2437.
SCHEME:

EXAMPLES:
· Hexachloroethane (Perlinger et al., 1996)

· 1,1,1,2-tetrachloro-2,2-bis(p-chlorophenyl)ethane (Alpha-chloro-DDT, DTE) (Macalady et al., 1986; Larson and Weber, 1994)

· Tetrachloroethane (Butler and Hayes, 2000)

REFERENCES:
Perlinger, J.A.; Angst, W.; Schwarzenbach, R.P. Kinetics of the Reduction of Hexachloroethane by Juglone in Solutions Containing Hydrogen Sulfide. Environ. Sci. Technol. 1996, 30, 3408-3417.
Macalady, D.L.; Tratnyek, P.G.; Grundl, T.J. Review Paper: Abiotic Reduction Reactions of Anthropogenic Organic Chemicals in Anaerobic Systems: A Critical Review. J. Contam. Hydrol. 1986, 1, 1-28.
Larson, R.A. and E.J. Weber. Reaction Mechanisms in Environmental Organic Chemistry. Boca Raton: CRC Press, Inc., 1994.
Butler, E.C.; Hayes, K.F. Kinetics of the Transformation of Halogenated Aliphatic Compounds by Iron Sulfide. Environ. Sci. Technol. 2000, 34, 422-429.
SCHEME:

EXAMPLES:
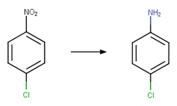
· P-Chloronitrobenzene (Klausen et al., 1995)

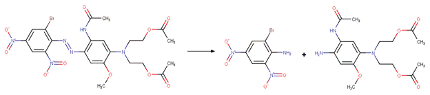
· 3-Bromo-5-nitrobenzene-1,2-diamine (Weber and Adams, 1995; Larson and Weber, 1994)

· 1,2,4,5-Tetrachloro-3-nitrobenzene (Macalady et al., 1986)

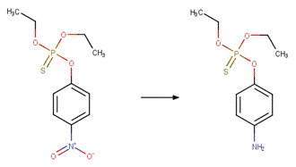
· O,O-diethyl O-4-nitrophenyl Phosphorothioate (Parathion) (Macalady et al., 1986)

REFERENCES:
Klausen, J.; Trober, S.P.; Haderlein, S.B.; Schwarzenbach, R.P. Reduction of Substituted Nitrobenzenes by Fe(II) in Aqueous Mineral Suspensions. Environ. Sci. Technol. 1995, 29, 2396-2404.
Weber, E.J.; Adams, R.L. Chemical- and Sediment-Mediated Reduction of the Azo Dye Disperse Blue 79. Environ. Sci. Technol. 1995, 29, 1163-1170.
Larson, R.A. and E.J. Weber. Reaction Mechanisms in Environmental Organic Chemistry. Boca Raton: CRC Press, Inc., 1994.
Macalady, D.L.; Tratnyek, P.G.; Grundl, T.J. Review Paper: Abiotic Reduction Reactions of Anthropogenic Organic Chemicals in Anaerobic Systems: A Critical Review. J. Contam. Hydrol. 1986, 1, 1-28.
SCHEME:

EXAMPLES:
· 5-amino-2-{2-[4-(dimethylamino)phenyl]diazen-1-yl}benzoic acid (Weber and Wolfe, 1987)

· Disperse Blue 79 (Weber and Adams, 1995; Larson and Weber, 1994)

· 1-({4-[(E)-2-phenyldiazen-1-yl]phenyl}amino)propan-2-ol (Substituted 4-Aminoazobenzene) (Weber, 1996)

· 4-[(E)-2-{4-[(2-hydroxypropyl)amino]phenyl}diazen-1-yl]benzonitrile (Substituted 4-cyano-4’-aminoazobenzene) (Zhang and Weber, 2009)

REFERENCES:
Weber, E.J.; Wolfe, N.L. Kinetic Studies of the Reduction of Aromatic Azo Compounds in Anaerobic Sediment/Water Systems. Environ. Toxicol. Chem. 1987, 6, 911-919.
Weber, E.J.; Adams, R.L. Chemical- and Sediment-Mediated Reduction of the Azo Dye Disperse Blue 79. Environ. Sci. Technol. 1995, 29, 1163-1170.
Larson, R.A. and E.J. Weber. Reaction Mechanisms in Environmental Organic Chemistry. Boca Raton: CRC Press, Inc., 1994.
Weber, E.J. Iron-Mediated Reductive Transformations: Investigation of Reaction Mechanism. Environ. Sci. Technol. 1996, 30, 716-719.
Zhang, H.; Weber, E.J. Elucidating the Role of Electron Shuttles in Reductive Transformations in Anaerobic Sediments. Environ. Sci. Technol. 2009, 43, 1042-1048.
SCHEME:

EXAMPLES:
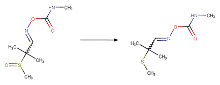
· Phorate Sulfoxide (Larson and Weber, 1994)

· Aldicarb Sulfoxide (Larson and Weber, 1994)

REFERENCES:
Larson, R.A. and E.J. Weber. Reaction Mechanisms in Environmental Organic Chemistry. Boca Raton: CRC Press, Inc., 1994.
SCHEME:

EXAMPLES:
· Nitrosodiphenylamine (Larson and Weber, 1994)

· N-Nitrosoatrazine (Larson and Weber, 1994)

· Nitrosodimethylamine (Kulikova et al., 2009)

REFERENCES:
Larson, R.A. and E.J. Weber. Reaction Mechanisms in Environmental Organic Chemistry. Boca Raton: CRC Press, Inc., 1994.
Kulikova, N.; Baker, M.; Gabryelski, W. Collision induced dissociation of protonated N-nitrosodimethylamine by ion trap mass spectrometry: Ultimate carcinogens in gas phase. Int. J. Mass Spec. 2009, 288, 75-83.
SCHEME:

EXAMPLES:
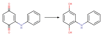
· Anilinohydroquinone (Colon et al., 2002)

· 2,6-dichlorophenolindophenol (Tonomura et al., 1978; Larson and Weber, 1994)

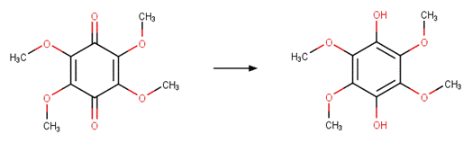
· Tetramethoxycyclohexa-2,5-diene-1,4-dione (Ref ??)

REFERENCES:
Colón, D.; Weber, E.J.; Baughman, G.L. Sediment-Associated Reactions of Aromatic Amines. 2. QSAR Development. Environ. Sci. Technol. 2002, 36, 2443-2450.
Tonomura, B.; Nakatani, H.; Ohnishi, M.; Yamaguchi-Ito, J.; Hiromi, K. Reduction for 2,6-Dichlorophenolindophenol and Potassium Ferricyanide by L-Ascorbic Acid. Anal. Biochem. 1978, 84, 370-383.
Larson, R.A. and E.J. Weber. Reaction Mechanisms in Environmental Organic Chemistry. Boca Raton: CRC Press, Inc., 1994.
SCHEME:

EXAMPLES:
· Sulfamethoxazole (Mohatt et al., 2011)

REFERENCES:
Mohatt, J.L.; Hu, L.; Finneran, K.T.; Strathmann, T.J. Microbially Mediated Abiotic Transformation of the Antimicrobial Agent Sulfamethoxazole under Iron-Reducing Soil Conditions. Environ. Sci. Technol. 2011, 45, 4793-4801.
Ranking of Abiotic Reduction Reaction Schemes
The schemes within the abiotic reduction library are ranked on a scale of one to seven according to their relative rate of transformation, with a higher rank indicating a faster transformation rate.
|
Scheme |
Rank |
|
Hydrogenolysis |
4 |
|
Vicinal Dehalogenation |
4 |
|
Nitroaromatic Reduction |
5 |
|
Aromatic Azo Reduction |
4 |
|
Sulfoxide Reduction |
3 |
|
N-Nitrosoamine Reduction |
4 |
|
Quinone Reduction |
4 |
|
Isoxazole Cleavage |
4 |
The following table defines the seven ranking levels, which span residence times of environmental relevance.
|
Rank |
Range of Median Transformation Half-Life |
|
7 |
Less than 30 minutes |
|
6 |
30 minutes to 200 minutes |
|
5 |
200 minutes to 24 hours |
|
4 |
24 hours to 7 days |
|
3 |
7 days to 60 days |
|
2 |
60 days to 1 year |
|
1 |
Greater than 1 year |
Version 1.5 Revisions:
· The number of ranks was expanded from six to seven ranks to allow for greater resolution of the likelihood of production and accumulation of products formed by very fast reactions. The range of transformation half-lives remained the same for ranks one through four; however, the range of half-lives associated with ranks five and six were modified slightly, and rank seven was introduced for schemes with median observed half-lives less than 30 minutes.
· The Hydrogenolysis and Vicinal Dehalogenation schemes were modified so that these reactions would not proceed for fluorinated aliphatics. Under environmentally relevant conditions, these reactions would not be expected to occur for fluorinated aliphatics due to the strength of the carbon-fluorine bond. In previous versions of the library, the halogen atoms in these schemes were denoted with the X symbol, which represents any halogen atom. The X symbol was replaced with a list atom (L[Cl;Br;I]) so that these dehalogenation reactions will only occur when the leaving halogen is chlorine, bromine or iodine.